Skip to content Skip to sidebar Skip to footer

How To Calculate Dilution Factor From Concentration : Reducing the concentration of any chemical (solution, gas, vapor) is called dilution.

How To Calculate Dilution Factor From Concentration : Reducing the concentration of any chemical (solution, gas, vapor) is called dilution.. Here's how to calculate dilution factor from given concentration dilution. How to calculate concentration after dilutions? In dilution, the amount of solute remains the same. 0.275 cells/ml × 2.6667= 0.7333 cells/ml The dilution factor will be.

How to calculate dilution factor from given concentration. How to calculate concentration after dilutions? "the dilution factor is 5 "it was a 5 fold dilution" "it was diluted 1/5 these all mean the same thing, that there is 1 volume part of sample and 4 volume parts of whatever liquid is being used to dilute the sample for a total of 5 volume parts. In dilution, the amount of solute remains the same. How can i calculate dilution concentration?

CHEMISTRY 101: Calculating Ion Concentration by Molarity ...
CHEMISTRY 101: Calculating Ion Concentration by Molarity ... from i.ytimg.com
(2.19 m) (25.0 ml) = m 2 (72.8 ml) solving for the second concentration (noting that the milliliter units cancel), m 2 = 0.752 m. How to calculate dilution factor from given concentration. Formula to calculate concentration after dilution. "the dilution factor is 5 "it was a 5 fold dilution" "it was diluted 1/5 these all mean the same thing, that there is 1 volume part of sample and 4 volume parts of whatever liquid is being used to dilute the sample for a total of 5 volume parts. The dilution factor will be. (2) either the stock concentration (c 1) or final concentration (c 2), but not both; Here's how to calculate dilution factor from given concentration dilution. Since the concentration of the stock solution is higher than the concentration of the diluted solution, you can express the former as a multiple of the latter.

Formula to calculate concentration after dilution.

In going from 25.0 ml to 72.8 ml, 72.8 − 25.0 = 47.8 ml of solvent must be added. Volume (stock) = 300ml * 40ng/ml / 5ug/ml = 2.4ml dilution calculator of molar concentration: (2) either the stock concentration (c 1) or final concentration (c 2), but not both; Calculating the concentration to calculate the concentration of our diluted sample we multiply by the inverse of our dilution Dilution occurs when you decrease the concentration of a solute in a solution, usually simply by mixing with more solvent. In dilution, the amount of solute remains the same. Since the concentration of the stock solution is higher than the concentration of the diluted solution, you can express the former as a multiple of the latter. What is a dilution factor and how do you calculate it? How to calculate concentration after dilutions? And (3) either the volume from stock solution (v 1) or final solution volume (v 2), but not both. For this calculation, the following must be entered: Dec 12, 2017 · dilution factor specified: For example, a 1:20 dilution converts to a 1/20 dilution factor.

The amount of solute dissolved in any solvent is termed as the concentration. In going from 25.0 ml to 72.8 ml, 72.8 − 25.0 = 47.8 ml of solvent must be added. Here's how to calculate dilution factor from given concentration dilution. (2) either the stock concentration (c 1) or final concentration (c 2), but not both; How can i calculate dilution concentration?

Dilution Series and Calculations - SCIENTIST CINDY
Dilution Series and Calculations - SCIENTIST CINDY from www.scientistcindy.com
(2.19 m) (25.0 ml) = m 2 (72.8 ml) solving for the second concentration (noting that the milliliter units cancel), m 2 = 0.752 m. For example, a 1:20 dilution converts to a 1/20 dilution factor. Reducing the concentration of any chemical (solution, gas, vapor) is called dilution. What is a dilution factor and how do you calculate it? How to calculate dilution factor from given concentration. For this calculation, the following must be entered: In going from 25.0 ml to 72.8 ml, 72.8 − 25.0 = 47.8 ml of solvent must be added. How to calculate concentration after dilutions?

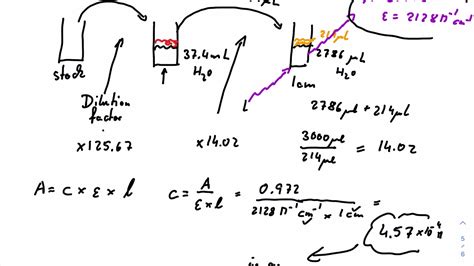
Calculating the concentration to calculate the concentration of our diluted sample we multiply by the inverse of our dilution

Here's how to calculate dilution factor from given concentration dilution. 0.275 cells/ml × 2.6667= 0.7333 cells/ml (2) either the stock concentration (c 1) or final concentration (c 2), but not both; Oct 18, 2020 · using the dilution equation, we have. How to calculate dilution factor from given concentration. How to calculate dilution factor from given concentration. Volume (stock) = 300ml * 40ng/ml / 5ug/ml = 2.4ml dilution calculator of molar concentration: And (3) either the volume from stock solution (v 1) or final solution volume (v 2), but not both. Calculating the concentration to calculate the concentration of our diluted sample we multiply by the inverse of our dilution The concentration of the solution has decreased. (2.19 m) (25.0 ml) = m 2 (72.8 ml) solving for the second concentration (noting that the milliliter units cancel), m 2 = 0.752 m. If you want to skip one of the steps (i.e., calculate the density of 1 from the one of 5), you can multipy by both (0.275 cells/ml × 1.6 × 1.6667 = 0.7333 cells/ml) or you can directly calculate the dilution factor from 1 to 5: 40ml/15ml = 2.6667 and then you get your cell density of 1 directly:

40ml/15ml = 2.6667 and then you get your cell density of 1 directly: How to calculate dilution factor from given concentration. Formula to calculate concentration after dilution. 0.275 cells/ml × 2.6667= 0.7333 cells/ml Since the concentration of the stock solution is higher than the concentration of the diluted solution, you can express the former as a multiple of the latter.

Concentration of a dilute solution using a dilution factor ...
Concentration of a dilute solution using a dilution factor ... from i.ytimg.com
In dilution, the amount of solute remains the same. If you want to skip one of the steps (i.e., calculate the density of 1 from the one of 5), you can multipy by both (0.275 cells/ml × 1.6 × 1.6667 = 0.7333 cells/ml) or you can directly calculate the dilution factor from 1 to 5: How can i calculate dilution concentration? = m ⋅ c2 c2 = m. 40ml/15ml = 2.6667 and then you get your cell density of 1 directly: The amount of solute dissolved in any solvent is termed as the concentration. Reducing the concentration of any chemical (solution, gas, vapor) is called dilution. 0.275 cells/ml × 2.6667= 0.7333 cells/ml

Since the concentration of the stock solution is higher than the concentration of the diluted solution, you can express the former as a multiple of the latter.

In dilution, the amount of solute remains the same. Since the concentration of the stock solution is higher than the concentration of the diluted solution, you can express the former as a multiple of the latter. Dec 12, 2017 · dilution factor specified: In going from 25.0 ml to 72.8 ml, 72.8 − 25.0 = 47.8 ml of solvent must be added. For this calculation, the following must be entered: Oct 18, 2020 · using the dilution equation, we have. What is a dilution factor and how do you calculate it? "the dilution factor is 5 "it was a 5 fold dilution" "it was diluted 1/5 these all mean the same thing, that there is 1 volume part of sample and 4 volume parts of whatever liquid is being used to dilute the sample for a total of 5 volume parts. If you want to skip one of the steps (i.e., calculate the density of 1 from the one of 5), you can multipy by both (0.275 cells/ml × 1.6 × 1.6667 = 0.7333 cells/ml) or you can directly calculate the dilution factor from 1 to 5: Calculating the concentration to calculate the concentration of our diluted sample we multiply by the inverse of our dilution 40ml/15ml = 2.6667 and then you get your cell density of 1 directly: How can i calculate dilution concentration? And (3) either the volume from stock solution (v 1) or final solution volume (v 2), but not both.

Calculating the concentration to calculate the concentration of our diluted sample we multiply by the inverse of our dilution how to calculate dilution. Formula to calculate concentration after dilution.